エアソフトガンの初速に関する傾向を、シミュレーターを使って計算・検討しました。
どんなセッティングにしたいかが決まったら、このページを見て初速の傾向をつかみましょう!
インバレの長さ、ピストン重量、加速ポート長さなどなど最適化していきましょう!
VSRをベースに計算しましたが、スプリング式のものならすべてに適応できます。
電動ガンも同じ考え、同じ傾向で初速が変化すると思います。
初速に関しては、いかにバネの持つエネルギーを効率よくBB弾の運動エネルギーに変換するかです。
撃ち心地は、また別のお話です。
注意事項
計算上で、1Jを超えることがありますが絶対に再現しないでください、また、計算値では法定初速以下でも実際には法定初速を越えることもあります。
カスタムをする際は、必ず弾速計で法定初速を越えていないか確認しましょう。
また、セッティングによるエネルギーの変化、ジュールクリープには気を付けましょう。
ガス(外部ソース含む)だと特に顕著に出るので要注意です。
まとめ
当たり前のことから、東京マルイの最新作のEVLOTのシリンダー内径まで広く浅く計算しました。
手っ取り早いのは、
・加速ポートは簡単に効果が出しやすい。
・ピストン重量って結構大事。
簡単には実現できないけど効果が大きいのは、
・シリンダー内径を狭めるのは効果が大きい
ということがわかりました。
カスタムする人はぜひ全部ご覧ください!
あわせて以前書いたこちらもご覧ください!こっちのほうが実践的です。
・VSR-10 G-SPECをチューンしてみよう。その2【重量弾、重量ピストンチューン編】
シミュレーションの内容
友人が作成した、エアソフトガン初速シミュレーターを使って、以下のパーツを変えたときの初速変化の傾向を確認します。
それぞれ、弾の重さを0.20g、0.25g、0.28gのバリエーションでシミュレーションをします。
変化させた内容は以下の通り。
1.インナーバレルの長さ
2.インナーバレル内径
3.ホップの強さ
4.ピストン重量
5.加速ポート長さ
6.シリンダー内径
これらを変化させて、初速の傾向を調べます。
なお基本的に、ホップに関しては一定値、強め(メモ:kb=3N/mm)としました。
VSR-10 G-SPEC(ベース機)のスペック
シミュレーションするベース機は、VSR-10 G-SPECとしました。
計算結果はこちら。
| 弾の重さ[g] | 0.20 | 0.25 | 0.28 |
| 初速[m/s] | 91.563 | 84.066 | 80.051 |
| エネルギー[J] | 0.8384 | 0.8834 | 0.8972 |
また、スプリングに蓄えられているエネルギーは、2.62[J]でした。
エアガンのスプリングからBB弾への変換効率は0.3程度と聞きました。
上記で求めたエネルギーからも近似する値になりました。
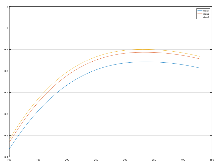
インナーバレル長を変化させた場合
VSR-10 G-SPECのインナーバレル長を、
100mm~430mmまで10mm刻みで変化させました。
計算結果

インナーバレル内径とエネルギーの関係
説明:青0.20g、オレンジ0.25g、黄色0.28g 縦軸エネルギー、横軸インナーバレル長
計算結果から思ったこと
弾の重さで効率の良い(初速が高い)、インナーバレル長ってあまり変わらないものですね。
ちょっと意外でした。
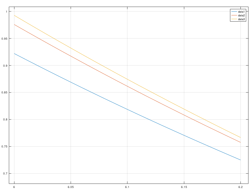
インナーバレル内径を変化させた場合
VSR-10 G-SPECのインナーバレル内径を
6.00mmから6.20mmまで0.01mm刻みで変化させました。
計算結果

インナーバレル内径とエネルギーの関係
説明:青0.20g、オレンジ0.25g、黄色0.28g 縦軸エネルギー、横軸インナーバレル内径
計算結果から思ったこと
内径が狭いほど初速は上がり、内径が広いほど初速は下がることが確認できました。
ホップの強さを変化させた場合
VSR-10 G-SPECのホップを
弱め(横軸1)から強め(横軸5)、まで変化させました。
計算結果

ホップ強さとエネルギーの関係
説明:青0.20g、オレンジ0.25g、黄色0.28g 縦軸エネルギー、横軸ホップ強さ
計算結果から思ったこと
青の0.20gでは、縦軸エネルギーのピークはホップ強さ2くらい。
オレンジの0.25gでは、縦軸エネルギーのピークはホップ強さ0.5くらい。
黄色の0.28gでは、縦軸エネルギーのピークはホップ強さ1くらい。
1.ホップの強さによって、初速は上がったり下がったりする。
2.弾の重さによって、エネルギーのピークをとるホップの強さが異なる。
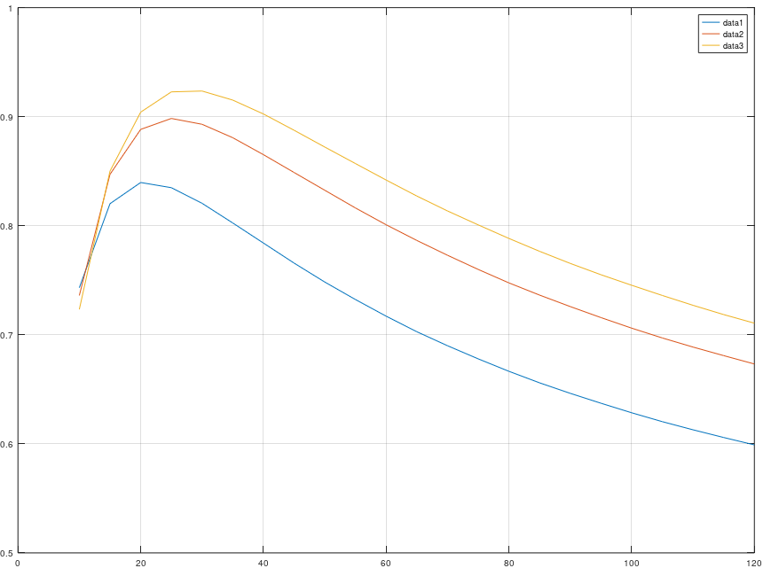
ピストン重量を変化させた場合
VSR-10 G-SPECのピストン重量を
10gから120gまで、5g刻みで変化させました。
計算結果

ピストン重量とエネルギーの関係
説明:青0.20g、オレンジ0.25g、黄色0.28g 縦軸エネルギー、ピストン重量
計算結果から思ったこと
弾が重くなればなるほど、山のピークが右側にずれていっていますよね。
重い弾を飛ばすには、軽い弾を飛ばすよりも重いピストンを使う方がよい。
弾の重さとピストンの重さは正の相関がありそうです。
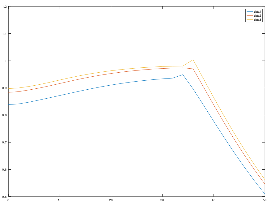
加速ポートを変化させた場合

加速ポート長さとエネルギーの関係
説明:青0.20g、オレンジ0.25g、黄色0.28g 縦軸エネルギー、加速ポート長さ
計算結果から思ったこと
加速ポートの適正化ってすごいですよね。
スプリングを一切変えずに0.1J近くエネルギーを増加させています。
加速ポート長さ38mm近傍で値が跳ねていたのが気になったので、加速ポート長さ30mmから40mmまで1mm刻みで再計算してみました。

加速ポートを、最適化できる点を越えると急速にエネルギーが減っていくので、その変化点でこのグラフの跳ね方なのかもしれません。
シリンダー内径を変化させた場合

シリンダー内径とエネルギーの関係
説明:青0.20g、オレンジ0.25g、黄色0.28g 縦軸エネルギー、シリンダー内径
計算結果から思ったこと
これは、スプリング強さによると思うんですが、16mm~18mmでも十分なんですね。
EVOLTがシリンダー内径18mmなので、整合性はありそうです。
終わりに
知ってる人からしたら、こんなの知ってるわ、だし
知らない人は、知ってほしい。
そんな内容でした。
へー、こんなことしたらこんなとこが変わるんだを知ってもらえたら嬉しいです。
個人的には、最後のシリンダー内径の最適値がEVOLTと同じ値なのは興奮しました。
筆者について
筆者 のびた
3DPなどを使って創作活動をしています。
BASEで販売をしています。
ツイッターはこちら



コメント